Berita Dialog Interaktif Di Tv One - Aldi Geri Lumban Tobing Editor. Dialog Interaktif Metro Tv Dalam Bentuk Teks.
Contoh Dialog Interaktif Dan Kesimpulannya Mosaicone
Admin blog Contoh Soal Terbaru 24 January 2022 juga mengumpulkan gambar-gambar lainnya terkait contoh berita dialog interaktif di metro tv dibawah ini.

Berita dialog interaktif di tv one. Seperti di acara TV dengan tema pendidikan dan sebagainya. Pengertian dan Contoh Teks Dialog Interaktif singkat yang biasa sahabat lihat di TV biasanya akan membahas sebuah topik yang sedang hangat mulai dari dunia pendidikan sosial dimana dalam pembahasan kali ini kami akan sajikan beberapa contoh yang bisa. Bagaimana Cara Membuka Berita Dalam Bahasa.
9 Contoh Dialog Interaktif Singkat beserta Kesimpulan 2019 TV. Kumpulan Berita TV ONE. Toni Riyanto Kamis 03 Juni 2021 1313 WIB Dibaca 126 kali Sebanyak 1700peserta mengikuti dialog interaktif secara daring bertema dengan Keluarga Antisipasi Bencana secara daring.
Dialog interaktif berita hari ini - 329631 1. Contoh Laporan Berita Tv OneSelamat pagi pemirsa kembali bersama saya Bagus Aji Prasetyo dan rekan saya Melia Wahyu di acara Seputar Indonesia untuk mengabarkan berita- berita yang teraktual tajam dan terpercaya yang kami rangkum dalam Seputar Indonesia pagi ini. - by admin - Leave a Comment.
Apa yang sedang dibicarakan. Contoh Dialog Interaktif Singkat-Selamat datang Dihalaman ini kita akan mengenal lebih dalam tentang apa itu dialog interaktif mengenai pengertian unsur penulisan hingga contoh dialog interaktif singkat seperti apa. Redaksi IDNpos 2021 Berita Video Live June 3 2021 412 pm 1700 Peserta Ikuti Dialog Interaktif dengan Keluarga Antisipasi Bencana Reporter.
Untuk lebih jelas lagi berikut ini adalah penjelasannya. Dialog interaktif adalah kegiatan diskusi yang membahas sebuah topic yang sedang terjadi di lingkup. Contoh Teks Dialog Interaktif Metro Tv - Aneka Macam Contoh Dialog Interaktif Di Tv One Hari Ini Dalam Bentuk Teks - Berbagai Teks Penting Contoh Dialog Interaktif Metro Tv Juli 2013 - Contoh Two Dialog Interaktif Metro Tv Dalam Bentuk Teks - Berbagai Teks Penting Contoh Dialog.
Makassar Dinas Kehutanan Dishut Provinsi Sulawesi Selatan Prov. Lebih jelasnya adalah seperti berikut ini selamat menyimak. Selamat datang Dihalaman ini kita akan mengenal lebih dalam tentang apa itu dialog interaktif mengenai pengertian unsur penulisan hingga contoh dialog interaktif singkat pendidikan beserta kesimpulannya lebih jelasnya adalah seperti berikut ini pengertian dialog interaktif adalah kegiatan dialog.
Pada berbagai macam saluran acara tv yang ada di Indonesia dialog interaktif sangat sering ditayangkan pada acara berita baik itu berita pagi berita siang maupun berita petang. Related Posts To Contoh Dialog Interaktif Tv One Terbaru Contoh Dialog Interaktif Tv One Terbaru 2017-12-28T1832000700 Rating. 21 Contoh Teks Dialog Interaktif 2020.
Contoh Teks Dialog Interaktif 2017 di TV One Metro TV Trans TV 20 Contoh Teks Dialog Interaktif 2017 di TV One Metro TV Trans TV. Black Box Sriwijaya Air SJ182 Ditemukan. Dan sering juga dialog interaktif ditemukan pada acara talk show yakni misalnya pada channelsaluran TV One dan Metro Tv yang diketahui dan dikenal sering menyajikan.
20 poin Dialog interaktif berita hari ini. Inilah pembahasan selengkapnya mengenai contoh berita dialog interaktif di metro tv. Disini saya bakal memberikan contoh teks obrolan interaktif singkat dari beberapa stasiun tv seperti dialog interaktif di tv one apa berita indonesia dialog interkatif di metro tv kick andy dialog interaktif di trans tv dr.
Daftar acara Bali TV - Wikipedia bahasa Indonesia ensiklopedia bebas Contoh Dialog Interaktif Tv One Hari Ini La Contoh Corona Todays 7 Contoh Dialog Interaktif Singkat Panjang Beserta. 2 contoh teks anekdot dalam bentuk narasi beserta strukturnya. Hal hal penting dalam dialog interaktif.
Siapa yang terlibat dalam pembicaraan itu. Tanyakan detil pertanyaan. Sulsel mengggelar dialog interaktif di Ekowisata Mangrove Lantebung Kelurahan Bira Kecamatan Tamalanrea Makassar Selasa 24 Agustus 2021Kegiatan yang disiarkan secara langsung oleh RRI Pro 1 Makassar melalui saluran 944 FM dan AM 630 KHzKHz tersebut dihadiri oleh Sekretaris Dishut Prov.
Contoh dialog interaktif singkat 2020 dan kesimpulannya 2 3 dan 4 orang. Dari Roronurfauziaha 1208. Selain membacakan naskah berita di stasiun televise seorang News Caster pada umumnya juga terlibat langsung dalam proses pembuatan berita yang ia bacakan.
Sama halnya dengan sebuah berita dialog interaktif juga mempunyai unsurunsur pembangun yakni 5 W 1 H. Tentunya kamu sudah paham betul tentang 5 W 1 H kan. Pengertian Dan Contoh Dialog Interaktif via pelajaranmaterikelasblogspotcoid.
Dialog Interaktif Di Tv
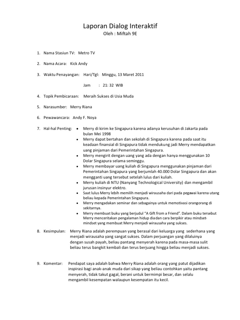
Contoh Laporan Dialog Interaktif
Berita Dialog Interaktif Di Tv One Hari Ini Dengan
Contoh Dialog Interaktif Brainly Co Id
9 Contoh Dialog Interaktif Singkat Beserta Kesimpulan 2019 Tv One Acara Tv
Berita Dialog Interaktif Di Tv One Hari Ini Dengan
Dialog Interaktif Di Tv One Hari Ini Dalam Bentuk Teks Berbagai Teks Penting
Contoh Dialog Interaktif Di Tv One Hari Ini Mosaicone
12 Contoh Dialog Interaktif Dan Kesimpulannya Sebagai Referensi Terbaik
Dialog Interaktif Pengertian Dan Contoh Dialog Interaktif Di Tv Materi Kelas
7 Contoh Dialog Interaktif Singkat Panjang Beserta Kesimpulannya Terbaru 2020 Evanazka
12 Contoh Dialog Interaktif Dan Kesimpulannya Sebagai Referensi Terbaik
Contoh Teks Dialog Interaktif Singkat Dan Menarik Sarungpreneur
Berita Dialog Interaktif Di Tv One Hari Ini Dengan




